Lesson Playlist: Dérivation des fonctions logarithmiques Mathématiques • Third Year of Secondary School
-
Dériver une combinaison de fonctions logarithmique et polynômiale en utilisant la règle du quotient
-
Dériver les fonctions logarithmiques à l’aide du théorème de dérivation des fonctions composées
-
Dériver Une Composition De Fonctions Logarithmiques Et Rationnelles En Utilisant La Règle De Chaîne
-
Dériver des fonctions logarithmiques en utilisant la règle de la chaine
-
Déterminer la dérivée troisième d’une fonction logarithmique
-
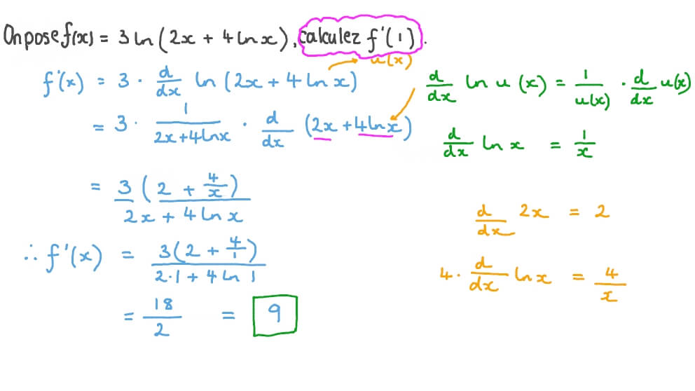
Dériver une combinaison de fonctions logarithmiques en utilisant la règle de la dérivation en chaîne en un point