Lesson Playlist: Coefficients directeurs des droites parallèles et perpendiculaires Mathématiques • Third Year of Preparatory School
-
Trouver l’angle formé par la droite perpendiculaire à une droite donnée et l’axe des 𝑥 positifs
-
Déterminer l’abscisse d’un point situé sur une droite perpendiculaire à une autre droite à partir des coordonnées de trois points appartenant à ces droites
-
Déterminer si deux droites sont parallèles
-
Déterminer si deux segments sont perpendiculaires
-
La relation entre les pentes de deux droites perpendiculaires
-
Déterminer si deux droites sont parallèles
-
Déterminer le coefficient directeur d’une droite
-
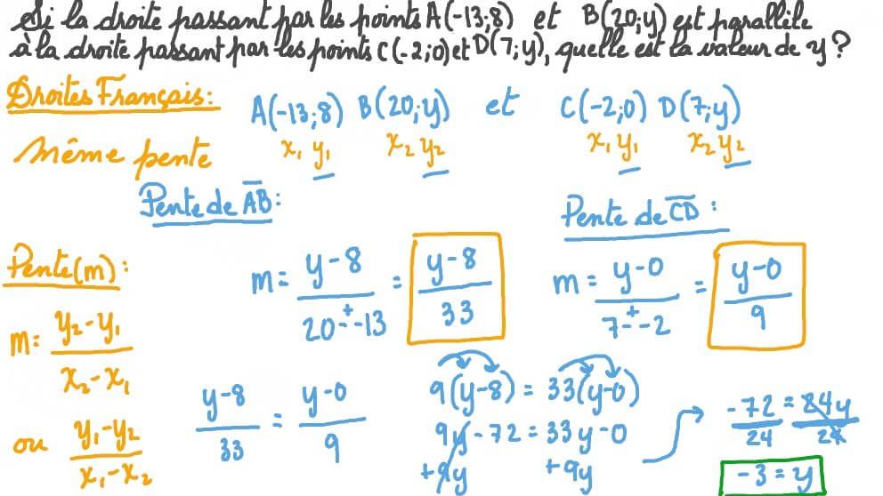
Détermination des ordonnées de deux points appartenant à deux droites parallèles
-
Déterminer si deux droites sont perpendiculaires à partir de points appartenant à chaque droite