Lesson: Norme d’un vecteur en 3D | Nagwa Lesson: Norme d’un vecteur en 3D | Nagwa

Lesson: Norme d’un vecteur en 3D Mathématiques • Third Year of Secondary School

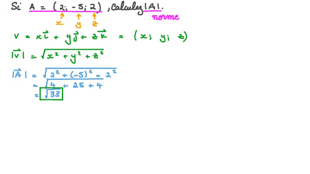
Dans cette leçon, nous allons apprendre comment déterminer la norme d'un vecteur position dans l'espace.

Lesson Plan

Lesson Presentation

Lesson Video

Video Thumbnail
12:06

Lesson Explainer

Lesson Playlist

Join Nagwa Classes

Attend live sessions on Nagwa Classes to boost your learning with guidance and advice from an expert teacher!

  • Interactive Sessions
  • Chat & Messaging
  • Realistic Exam Questions

Nagwa uses cookies to ensure you get the best experience on our website. Learn more about our Privacy Policy