Lesson: Théorème fondamental de l’analyse : calculer les intégrales définies | Nagwa Lesson: Théorème fondamental de l’analyse : calculer les intégrales définies | Nagwa

Lesson: Théorème fondamental de l’analyse : calculer les intégrales définies Mathématiques • Third Year of Secondary School

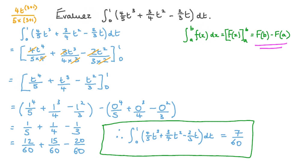
Dans cette leçon, nous allons apprendre comment utiliser le théorème fondamental de l'analyse pour calculer les intégrales définies.

Lesson Plan

Lesson Presentation

Lesson Video

Video Thumbnail
26:31

Lesson Explainer

Lesson Playlist

Join Nagwa Classes

Attend live sessions on Nagwa Classes to boost your learning with guidance and advice from an expert teacher!

  • Interactive Sessions
  • Chat & Messaging
  • Realistic Exam Questions

Nagwa uses cookies to ensure you get the best experience on our website. Learn more about our Privacy Policy